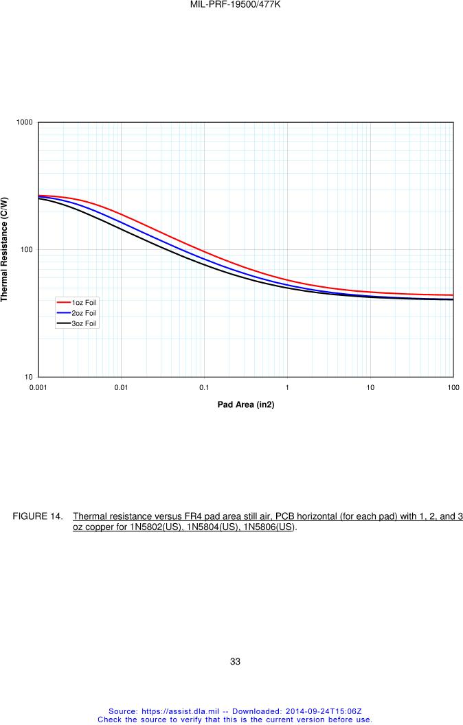
MIL-PRF-19500-477 Semiconductor Device, Diode, Silicon, Ultrafast Recovery, Power Rectifier, Types 1N5802, 1N5804, 1N5806, 1N5807, 1N5809, And 1N5811, 1N5802Us, 1N5804Us, 1N5806Us, 1N5807Us, 1N5809Us, And 1N5811Us, 1N5802Urs, 1N5804Urs, 1N5806Urs, 1N5807Urs, 1N5809Urs, And 1N5811Urs, Jan, Jantx, Jantxv, Jans, Janhc, And JankcThis specification covers the performance requirements for silicon, fast recovery, power rectifier diodes. Four levels of product assurance are provided for each encapsulated device types as specified in MIL-PRF-19500. Two levels of product assurance are provided for each unencapsulated device type.