
MIL-PRF-19500/601K
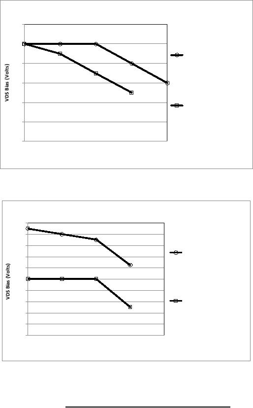
Typical SEE Response
120
100
LET=28± 5%
Range=42.8µm± 5%
80
Energy=283.3MeV± 7.5%
60
40
LET=37± 5%
Range=39µm± 5%
Energy=305MeV± 5%
20
0
0
-5
-10
-15
-20
VGS Bias (Volts)
2N7261, 2N7261U, 2N7261U5
Typical SEE Response
200
180
160
LET=28± 5%
140
Range=42.8µm± 5%
Energy=283.3MeV± 7.5%
120
100
80
LET=37± 5%
60
Range=39µm± 5%
40
Energy=305MeV± 5%
20
0
0
-5
-10
-15
-20
VGS Bias (Volts)
2N7262, 2N7262U, 2N7262U5
* FIGURE 6. Typical single-event-effects safe-operating-area graphs.
26
For Parts Inquires call Parts Hangar, Inc (727) 493-0744
© Copyright 2015 Integrated Publishing, Inc.
A Service Disabled Veteran Owned Small Business